Κέρδος ως και 55 ευρώ θα έχουν οι εργαζόμενοι συνταξιούχοι από τη διάταξη του εργασιακού νομοσχεδίου η οποία προβλέπει την απαλλαγή τους από την επιπλέον επιβάρυνση της Εισφοράς Αλληλεγγύης (ΕΑΣ) λόγω της προσαύξησης που θα έχει η σύνταξή τους από το χρόνο ασφάλισης που έχουν διανύσει ως απασχολούμενοι συνταξιούχοι.
Πρακτικά όταν η προσαύξηση αυξάνει τη σύνταξη και τους οδηγεί σε υψηλότερη κλίμακα κρατήσεων, θα παραμένουν στην ίδια κλίμακα της εισφοράς αλληλεγγύης που είχαν πριν την προσαύξηση.
Αν δηλαδή ένας συνταξιούχος που εργάζεται πάρει προσαύξηση σύνταξης από τα “ένσημα” της απασχόλησής του και λόγω αυτής της προσαύξησης αλλάξει κλίμακα ΕΑΣ και από 3% πάει στο 6%, θα απαλλαγεί από την έξτρα επιβάρυνση και θα μείνει στην παλιά κράτηση 3%.
Το ίδιο θα συμβεί και στις περιπτώσεις που η κράτηση από το 6% ανεβεί στο 7%, ή στο 9%, καθώς σύμφωνα με τη διάταξη η σύνταξη θα εξακολουθήσει να υπόκειται στην κράτηση που είχε πριν ο συνταξιούχος πάρει την προσαύξηση λόγω απασχόλησης.
Πλήρη απαλλαγή από την ΕΑΣ θα έχουν οι εργαζόμενοι συνταξιούχοι που λόγω της προσαύξησης θα υπαχθούν στην πρώτη κλίμακα κρατήσεων (3%), καθώς η προσαύξηση δεν θα ληφθεί υπόψη για την επιβολή της εισφοράς. Η εισφορά ξεκινά από κύριες συντάξεις ή άθροισμα κύριων συντάξεων που υπερβαίνουν τα 1.434 ευρώ μικτά με ποσοστό 3%.
Το εύρος της πρώτης κλίμακας με εισφορά 3% πιάνει συντάξεις από τα 1.434 ευρώ ως τα 1.741 ευρώ.
Η δεύτερη κλίμακα έχει εισφορά 6% για συντάξεις από τα 1.742 ευρώ ως 2.048 ευρώ, η τρίτη έχει 9% για συντάξεις από 2.049 ευρώ ως 2.355 ευρώ, κ.ο.κ.
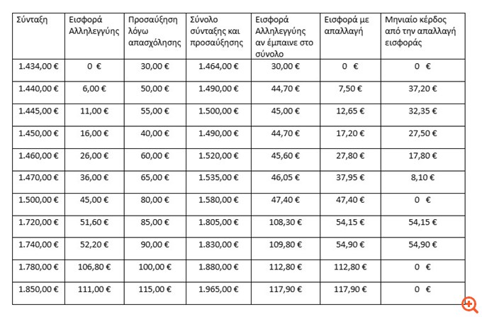
Παραδείγματα για τις περιπτώσεις που οι εργαζόμενοι συνταξιούχοι θα απαλλάσσονται ή θα πληρώσουν λιγότερη εισφορά δημοσιεύει στον σχετικό πίνακα που επεξεργάστηκε το Capital.gr με βάση το μηχανισμό που θα εφαρμοστεί η σχετική διάταξη (ο οποίος μηχανισμός θα εξειδικευτεί μετά την ψήφιση του νομοσχέδιου).
Για παράδειγμα:
1.Ενας εργαζόμενος συνταξιούχος με σύνταξη 1.420 ευρώ που θα πάρει προσαύξηση λόγω απασχόλησης άλλα 40 ευρώ, δηλαδή συνολικά 1.460 ευρώ, θα υπαγόταν σε κράτηση ΕΑΣ 3%. Με τη διάταξη του υπουργείου Εργασίας η προσαύξηση θα καταβάλλεται μεν κανονικά, αλλά για την ΕΑΣ θα λαμβάνεται υπόψη η αρχική σύνταξη που είναι 1.420 ευρώ και δεν υπόκειται σε κράτηση. Χωρλίς την προστατευτική διάταξη ο συνταξιούχος θα πλήρωνε την εισφορά που αντιστοιχεί από τα 1.434 ευρώ, ως τα 1.460 ευρώ δηλαδή 26 ευρώ, ενώ με τη διάταξη τα γλιτώνει και δεν θα έχει καθόλου κράτηση.
2. Ενας συνταξιούχος που συνεχίσει να εργάζεται και παίρνει σύνταξη 1.740 ευρώ πληρώνει εισφορά 3%. Αν πάρει προσαύξηση λόγω απασχόλησης άλλα 90 ευρώ η σύνταξή του θα αυξηθεί στα 1.830 ευρώ. Αυτομάτως αλλάζει κλίμακα ΕΑΣ και υπάγεται στο 6%. Με τη νέα διάταξη όμως δεν θα πληρώσει την εισφορά 6% επειδή αλλάζει κλίμακα αλλά θα μείνει στο 3% καθώς θα ληφθεί υπόψη η αρχική σύνταξη πριν την προσαύξηση την οποία ;βέβαια θα λαμβάνει κανονικά. Προσοχή όμως γιατί στην περίπτωση αυτή επειδή ο συνταξιούχος πληρώνει ήδη εισφορά, θα επιβαρυνθεί με το ίδιο ποσοστό δηλαδή με 3% και η προσαύξηση. Συνοπτικά στο συγκεκριμένα παράδειγμα ο συνταξιούχος θα πλήρωνε εισφορά 109,80 ευρώ, αλλά με την μερική απαλλαγή θα πληρώσει τα μισά δηλαδή 54.90 ευρώ, και τα άλλα 54,90 ευρώ θα του μείνουν ως κέρδος στην τσέπη.
Η διάταξη αναφέρει τα εξής: “Στις περιπτώσεις χορήγησης προσαύξησης ήδη καταβαλλόμενης σύνταξης σύμφωνα με τις παρ. 7 και 8 του άρθρου 20 του ν. 4387/2016, λόγω αξιοποίησης χρόνου ασφάλισης από απασχόληση συνταξιούχου, για τον προσδιορισμό του συντελεστή παρακράτησης ΕΑΣ λαμβάνεται υπόψη το ποσό της σύνταξης, που εκάστοτε λαμβάνει ή δικαιούται να λάβει ο συνταξιούχος πριν από τη χορήγηση της προσαύξησης αυτής”.
Η εφαρμογή της διάταξης θα ξεκινήσει από τον Οκτώβριο που αναμένεται και η ψήφιση του νομοσχεδίου.
Πώς θα υπολογίζεται η ΕΑΣ για εργαζόμενους συνταξιούχους και ποιοι θα κερδίσουν
Πηγή: capital.gr

